I'm experiencing difficulties in aligning some equations inside a single block. Here's a MWE showing the problem and its preview :
Code: Select all
\documentclass[12pt,letterpaper,twoside]{book}
\usepackage{lmodern}
\usepackage{amsmath}
\begin{document}
\begin{gather}
A + B + C = D - E - F \nonumber \\[18pt]
\begin{align}
&= G - H + K + X + Y + Z + P + Q + R + S + T \nonumber \\[18pt]
&\equiv L + M + N + U + V + W \nonumber \\[18pt]
&\equiv P - Q. \label{label name}
\end{align}
\end{gather}
\end{document}
Preview :

- label.jpg (15.53 KiB) Viewed 27151 times
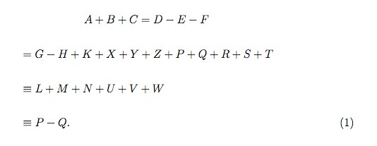
Here are the real equations. The distribution is the same as what the code above is doing :

- equs.jpg (33.93 KiB) Viewed 27151 times
I need the first line to be centered, and the
three last lines to be left aligned, like what is shown here. The last line need a number and a label. Currently, the code above
works,
but it gives a duplicate label warning during compilation (multiply defined label).
So how can I do this properly ? Whatever what I'm doing doesn't work !
Using
aligned instead of
align removes the number !